235. 二叉搜索树的最近公共祖先
给定一个二叉搜索树, 找到该树中两个指定节点的最近公共祖先。
百度百科中最近公共祖先的定义为:“对于有根树 T 的两个结点 p、q,最近公共祖先表示为一个结点 x,满足 x 是 p、q 的祖先且 x 的深度尽可能大(一个节点也可以是它自己的祖先)。”
例如,给定如下二叉搜索树: root = [6,2,8,0,4,7,9,null,null,3,5]

示例 1:
输入: root = [6,2,8,0,4,7,9,null,null,3,5], p = 2, q = 8
输出: 6
解释: 节点 2 和节点 8 的最近公共祖先是 6。
示例 2:
输入: root = [6,2,8,0,4,7,9,null,null,3,5], p = 2, q = 4
输出: 2
解释: 节点 2 和节点 4 的最近公共祖先是 2, 因为根据定义最近公共祖先节点可以为节点本身。
说明:
所有节点的值都是唯一的。
p、q 为不同节点且均存在于给定的二叉搜索树中。
正解
用回溯从底向上搜索,遇到一个节点的左子树里有p,右子树里有q,那么当前节点就是最近公共祖先。
那么本题是二叉搜索树,二叉搜索树是有序的,那得好好利用一下这个特点。
在有序树里,如果判断一个节点的左子树里有p,右子树里有q呢?
因为是有序树,所以 如果 中间节点是 q 和 p 的公共祖先,那么 中节点的数组 一定是在 [p, q]区间的。
即 中节点 > p && 中节点 < q 或者 中节点 > q && 中节点 < p。
那么只要从上到下去遍历,遇到 cur节点是数值在[p, q]区间中则一定可以说明该节点cur就是p 和 q的公共祖先。
- 确定递归函数返回值以及参数
参数就是当前节点,以及两个结点 p、q。
返回值是要返回最近公共祖先,所以是TreeNode * 。 - 确定终止条件
遇到空返回就可以了
其实都不需要这个终止条件
因为题目中说了p、q 为不同节点且均存在于给定的二叉搜索树中。
也就是说一定会找到公共祖先的,所以并不存在遇到空的情况。 - 确定单层递归的逻辑
在遍历二叉搜索树的时候就是寻找区间[p->val, q->val](注意这里是左闭又闭)
那么如果 cur->val 大于 p->val,同时 cur->val 大于q->val,那么就应该向左遍历(说明目标区间在左子树上)。
需要注意的是此时不知道p和q谁大,所以两个都要判断
上代码(●’◡’●)
class Solution {
public:
TreeNode* lowestCommonAncestor(TreeNode* root, TreeNode* p, TreeNode* q) {
if (root->val > p->val && root->val > q->val) {
return lowestCommonAncestor(root->left, p, q);
} else if (root->val < p->val && root->val < q->val) {
return lowestCommonAncestor(root->right, p, q);
} else return root;
}
};
701.二叉搜索树中的插入操作
给定二叉搜索树(BST)的根节点 root 和要插入树中的值 value ,将值插入二叉搜索树。 返回插入后二叉搜索树的根节点。 输入数据 保证 ,新值和原始二叉搜索树中的任意节点值都不同。
注意,可能存在多种有效的插入方式,只要树在插入后仍保持为二叉搜索树即可。 你可以返回 任意有效的结果 。
示例 1:

输入:root = [4,2,7,1,3], val = 5
输出:[4,2,7,1,3,5]
解释:另一个满足题目要求可以通过的树是:

示例 2:
输入:root = [40,20,60,10,30,50,70], val = 25
输出:[40,20,60,10,30,50,70,null,null,25]
示例 3:
输入:root = [4,2,7,1,3,null,null,null,null,null,null], val = 5
输出:[4,2,7,1,3,5]
提示:
树中的节点数将在 [0, 104]的范围内。
-108 <= Node.val <= 108
所有值 Node.val 是 独一无二 的。
-108 <= val <= 108
保证 val 在原始BST中不存在。
正解
这道题目其实是一道简单题目,但是题目中的提示:
有多种有效的插入方式,还可以重构二叉搜索树,一下子吓退了不少人,瞬间感觉题目复杂了很多。
其实可以不考虑题目中提示所说的改变树的结构的插入方式。
如下演示视频中可以看出:只要按照二叉搜索树的规则去遍历,遇到空节点就插入节点就可以了。
![图片[1]-代码随想录Day20-编程算法牛翰社区-数据算法-牛翰网](https://niuimg.niucores.com/wp-content/uploads/2024/08/886188923535847311.gif)
例如插入元素10 ,需要找到末尾节点插入便可;
一样的道理来插入元素15,插入元素0,插入元素6;
需要调整二叉树的结构么? 并不需要。
只要遍历二叉搜索树,找到空节点 插入元素就可以了,那么这道题其实就简单了。
接下来就是遍历二叉搜索树的过程了
- 确定递归函数参数以及返回值
参数就是根节点指针,以及要插入元素,这里递归函数要不要有返回值呢?
可以有,也可以没有;
但递归函数如果没有返回值的话,实现是比较麻烦的;
有返回值的话,可以利用返回值完成新加入的节点与其父节点的赋值操作。(下面会进一步解释)
递归函数的返回类型为节点类型TreeNode * 。 - 确定终止条件
终止条件就是找到遍历的节点为null的时候,就是要插入节点的位置了,并把插入的节点返回。
这里把添加的节点返回给上一层,就完成了父子节点的赋值操作了 - 确定单层递归的逻辑
此时要明确,需要遍历整棵树么?
别忘了这是搜索树,遍历整棵搜索树简直是对搜索树的侮辱。
搜索树是有方向了,可以根据插入元素的数值,决定递归方向。
上代码(●’◡’●)
class Solution {
public:
TreeNode* insertIntoBST(TreeNode* root, int val) {
if (root == NULL) {
TreeNode* node = new TreeNode(val);
return node;
}
if (root->val > val) root->left = insertIntoBST(root->left, val);
if (root->val < val) root->right = insertIntoBST(root->right, val);
return root;
}
};
450.删除二叉搜索树中的节点
给定一个二叉搜索树的根节点 root 和一个值 key,删除二叉搜索树中的 key 对应的节点,并保证二叉搜索树的性质不变。返回二叉搜索树(有可能被更新)的根节点的引用。
一般来说,删除节点可分为两个步骤:
首先找到需要删除的节点;
如果找到了,删除它。
示例 1:

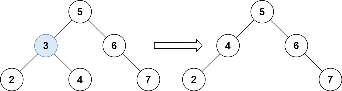
输入:root = [5,3,6,2,4,null,7], key = 3
输出:[5,4,6,2,null,null,7]
解释:给定需要删除的节点值是 3,所以我们首先找到 3 这个节点,然后删除它。
一个正确的答案是 [5,4,6,2,null,null,7], 如下图所示。
另一个正确答案是 [5,2,6,null,4,null,7]。

示例 2:
输入: root = [5,3,6,2,4,null,7], key = 0
输出: [5,3,6,2,4,null,7]
解释: 二叉树不包含值为 0 的节点
示例 3:
输入: root = [], key = 0
输出: []
提示:
节点数的范围 [0, 104].
-105 <= Node.val <= 105
节点值唯一
root 是合法的二叉搜索树
-105 <= key <= 105
进阶: 要求算法时间复杂度为 O(h),h 为树的高度。
正解
搜索树的节点删除要比节点增加复杂的多,有很多情况需要考虑
- 确定递归函数参数以及返回值
这里可以通过递归返回值删除节点。 - 确定终止条件
遇到空返回,其实这也说明没找到删除的节点,遍历到空节点直接返回了 - 确定单层递归的逻辑
这里就把二叉搜索树中删除节点遇到的情况都搞清楚。
有以下五种情况:
- 第一种情况:没找到删除的节点,遍历到空节点直接返回了
- 第二种情况:左右孩子都为空(叶子节点),直接删除节点, 返回NULL为根节点
- 第三种情况:删除节点的左孩子为空,右孩子不为空,删除节点,右孩子补位,返回右孩子为根节点
- 第四种情况:删除节点的右孩子为空,左孩子不为空,删除节点,左孩子补位,返回左孩子为根节点
- 第五种情况:左右孩子节点都不为空,则将删除节点的左子树头结点(左孩子)放到删除节点的右子树的最左面节点的左孩子上,返回删除节点右孩子为新的根节点。
上代码(●’◡’●)
class Solution {
public:
TreeNode* deleteNode(TreeNode* root, int key) {
if (root == nullptr) return root; // 第一种情况:没找到删除的节点,遍历到空节点直接返回了
if (root->val == key) {
// 第二种情况:左右孩子都为空(叶子节点),直接删除节点, 返回NULL为根节点
if (root->left == nullptr && root->right == nullptr) {
///! 内存释放
delete root;
return nullptr;
}
// 第三种情况:其左孩子为空,右孩子不为空,删除节点,右孩子补位 ,返回右孩子为根节点
else if (root->left == nullptr) {
auto retNode = root->right;
///! 内存释放
delete root;
return retNode;
}
// 第四种情况:其右孩子为空,左孩子不为空,删除节点,左孩子补位,返回左孩子为根节点
else if (root->right == nullptr) {
auto retNode = root->left;
///! 内存释放
delete root;
return retNode;
}
// 第五种情况:左右孩子节点都不为空,则将删除节点的左子树放到删除节点的右子树的最左面节点的左孩子的位置
// 并返回删除节点右孩子为新的根节点。
else {
TreeNode* cur = root->right; // 找右子树最左面的节点
while(cur->left != nullptr) {
cur = cur->left;
}
cur->left = root->left; // 把要删除的节点(root)左子树放在cur的左孩子的位置
TreeNode* tmp = root; // 把root节点保存一下,下面来删除
root = root->right; // 返回旧root的右孩子作为新root
delete tmp; // 释放节点内存(这里不写也可以,但C++最好手动释放一下吧)
return root;
}
}
if (root->val > key) root->left = deleteNode(root->left, key);
if (root->val < key) root->right = deleteNode(root->right, key);
return root;
}
};
写博不易,请大佬点赞支持一下8~










没有回复内容