牛翰网 - 每一份分享都能成就每一次喜悦
  • 智能工控
    • 智能开发
    • 数据结构与算法
    • 数据分析
    • 机器学习
    • 大模型
  • 编程开发
    • 后端开发
    • 前端开发
    • 移动开发
    • 数据库
  • 学习课程
  • 下载
  • 牛翰社区
发布
发布文章创建话题创建圈子发布帖子
开通会员
黄金会员
黄金会员
黄金会员开通黄金会员
  • 全站资源折扣购买
  • 部分内容免费阅读
  • 一对一技术指导
  • VIP用户专属QQ群
开通黄金会员
钻石会员
钻石会员
钻石会员开通钻石会员
  • 全站资源折扣购买
  • 部分内容免费阅读
  • 一对一技术指导
  • VIP用户专属QQ群
开通钻石会员
  • 登录
  • 注册
  • 智能工控
    • 智能开发
    • 数据结构与算法
    • 数据分析
    • 机器学习
    • 大模型
  • 编程开发
    • 后端开发
    • 前端开发
    • 移动开发
    • 数据库
  • 学习课程
  • 下载
  • 牛翰社区
开通会员 尊享会员权益
登录
注册
找回密码
后端开发-牛翰网
分享
  • 创建新圈子
编程开发

后端开发

帖子 3909互动 1关注 1
后端开发-牛翰网
猿柒的头像-牛翰网圈主申请管理发布
  • 全部
  • 最新发布
  • 最新回复
  • 热门
  • 精华

猿柒的头像-牛翰网钻石会员
猿柒徽章-资深玩家-牛翰网等级-LV7-牛翰网
8个月前更新12次阅读
关注私信

常见的图形库概览-03-D3.js 入门例子

常见的图形库系列
常见的图形库概览-00-overview
常见的图形库概览-01-Chart.js 入门例子
常见的图形库概览-03-D3.js 入门例子
评分
回复分享
b5d7f0a58bdb52f3的头像-牛翰网
果冻人工智能等级-LV1-牛翰网
8个月前更新11次阅读
关注私信

你真是个绝对的傻瓜,居然相信“AI 代理”的炒作。

你真是个绝对的傻瓜,居然相信“AI 代理”的炒作。 “AI 代理” — 由 X 的 Grok 生成
我甚至不能浏览 LinkedIn 而不看到一些产...
你真是个绝对的傻瓜,居然相信“AI 代理”的炒作。-牛翰网你真是个绝对的傻瓜,居然相信“AI 代理”的炒作。-牛翰网
评分
回复分享
b26d9c3545ee8043的头像-牛翰网
花开富贵2等级-LV1-牛翰网
8个月前更新15次阅读
关注私信

探索智慧城市:未来的关键技术趋势

** --- ```html
探索智慧城市:未来的关键技术趋势
"智慧城市",一个被众多专家与实践者热烈谈论的概念,不仅仅是一系列先进的技术堆砌,而是关于城市如何更有效地利用信息技术提升生活质量、推动可持续发展以及提高城市管理效能的革命。在这个篇章中,我们旨...
评分
回复分享
db58b6b5b810fa5f的头像-牛翰网
Archippus等级-LV1-牛翰网
8个月前更新17次阅读
关注私信

题解:AT_abc389_d [ABC389D] Squares in Circle

假定原点为圆心。
我们只考虑点在第一象限的情况,剩下的情况同理。
因为圆心是原点,所以在圆内的点的横坐标一定在 \(r\) 之内。
枚举点的横坐标 \(x + \frac{1}{2}\),二分最大的 \(y + \frac{1}{2}\),使得点 \((x + \frac{1}{2}, y + \frac{1}{2})\) 到原...
评分
回复分享
猿柒的头像-牛翰网钻石会员
猿柒徽章-资深玩家-牛翰网等级-LV7-牛翰网
8个月前更新8次阅读
关注私信

简单加减乘除计算器

package Base;
import java.util.Scanner;
public class method { public static void main(String[] args) { Scanner s = new Scanner(System.in); System.out.println("输入数字,在个字符间加空格"); int a=s.nextInt(); String z=s.next(); int b=s.nextI...
评分
回复分享
猿柒的头像-牛翰网钻石会员
猿柒徽章-资深玩家-牛翰网等级-LV7-牛翰网
8个月前更新11次阅读
关注私信

SciTech-Modeling Materials:翻模 材料: 熔点+温度+除气泡 – 常用金属 + 塑料 的熔点

石膏粉的熔点是多少?
石膏粉加热时存在3个排出结晶水阶段: 105~180℃, 首先排出1个水分子,随后立即排出半个水分子,转变为烧石膏,也称熟石膏或半水石膏。 200~220℃, 排出剩余的半个水分子,转变为Ⅲ型硬石膏。 约350℃,转变为Ⅱ型石膏Ca[SO4]。 1120℃...
评分
回复分享
猿柒的头像-牛翰网钻石会员
猿柒徽章-资深玩家-牛翰网等级-LV7-牛翰网
8个月前更新14次阅读
关注私信

个税app

每年1月开始填报。3月开始申报来源链接:https://www.cnblogs.com/chong-zuo3322/p/18679556
评分
回复分享
猿柒的头像-牛翰网钻石会员
猿柒徽章-资深玩家-牛翰网等级-LV7-牛翰网
8个月前更新22次阅读
关注私信

Migration 文件的命名规则

在 Rails 中,Migration 文件的命名规则非常重要,因为 Rails 会根据文件名自动推断出你要执行的操作。合理的命名不仅能让代码更易读,还能利用 Rails 的约定简化开发。
1. Migration 文件的基本命名规则
Migration 文件的命名格式为:
YYYYMMDDHHMMSS_migrat...
评分
回复分享
猿柒的头像-牛翰网钻石会员
猿柒徽章-资深玩家-牛翰网等级-LV7-牛翰网
8个月前更新22次阅读
关注私信

聊一聊 操作系统蓝屏 c0000102 的故障分析

一:背景
1. 讲故事
今年以来不知道为啥总有些朋友加我微信,让我帮忙分析下操作系统蓝屏问题,我也觉得挺好奇的,就问了其中一...
聊一聊 操作系统蓝屏 c0000102 的故障分析-牛翰网聊一聊 操作系统蓝屏 c0000102 的故障分析-牛翰网
评分
回复分享
猿柒的头像-牛翰网钻石会员
猿柒徽章-资深玩家-牛翰网等级-LV7-牛翰网
8个月前更新17次阅读
关注私信

4-01-(C++类 this指针)

结构体传参,传递的是副本
结构体里面写函数,结构体的大小不变
函数的地址不在结构体里面。
类里面的函数都要传一个this指针,...
4-01-(C++类 this指针)-牛翰网
评分
回复分享
猿柒的头像-牛翰网钻石会员
猿柒徽章-资深玩家-牛翰网等级-LV7-牛翰网
8个月前更新8次阅读
关注私信

pytorch2.0.1 编译

conda create -n xxx git clone --recursive https://github.com/pytorch/pytorch (注意,不要使用之前的编译目录) git checkout v2.0.1 (不能-b) git submodule sync git submodule update --init --recursive 开始编译
export CMAKE_PREFIX_PATH=${CONDA_...
评分
回复分享
猿柒的头像-牛翰网钻石会员
猿柒徽章-资深玩家-牛翰网等级-LV7-牛翰网
8个月前更新13次阅读
关注私信

1.19

第六期结束1.健壮性稳定性性能优化2.集成hotkey 来源链接:https://www.cnblogs.com/zeyangshuaige/p/18679538
1.19-牛翰网1.19-牛翰网
评分
回复分享
猿柒的头像-牛翰网钻石会员
猿柒徽章-资深玩家-牛翰网等级-LV7-牛翰网
8个月前更新47次阅读
关注私信

协议通道版iMessage蓝号检测,iMessages数据筛选,无痕检测是否开启iMessage服务

一、实现iMessage数据检测的两种方式:1.人工筛选,将要验证的号码输出到文件中,以逗号分隔。再将文件中的号码粘贴到iMessage客...
协议通道版iMessage蓝号检测,iMessages数据筛选,无痕检测是否开启iMessage服务-牛翰网
评分
回复分享
猿柒的头像-牛翰网钻石会员
猿柒徽章-资深玩家-牛翰网等级-LV7-牛翰网
8个月前更新21次阅读
关注私信

jenkins + gogs + docker + nginx 完成自动化部署

jenkins + gogs + docker + nginx 完成自动化部署
app安装部署
1.docker-compose配置文件
version: '3'
评分
回复分享
猿柒的头像-牛翰网钻石会员
猿柒徽章-资深玩家-牛翰网等级-LV7-牛翰网
8个月前更新11次阅读
关注私信

Airflow – Study Notes 3

(.venv) frank@ZZHUBT:~/venvs/my_airflow_project$ airflow config get-value core executor
SequentialExecutor 来源链接:htt...
Airflow - Study Notes 3-牛翰网Airflow - Study Notes 3-牛翰网Airflow - Study Notes 3-牛翰网
+20
Airflow - Study Notes 3-牛翰网
评分
回复分享
猿柒的头像-牛翰网钻石会员
猿柒徽章-资深玩家-牛翰网等级-LV7-牛翰网
8个月前更新18次阅读
关注私信

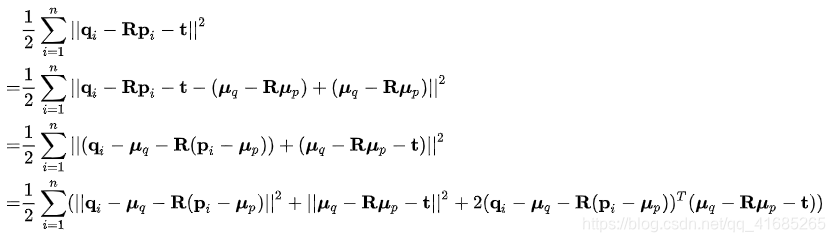
icp算法学习笔记

一、点云
我们在做 3D 视觉的时候,处理的主要是点云,点云就是一些点的集合。相对于图像,点云有其不可替代的优势——深度,也...
icp算法学习笔记-牛翰网icp算法学习笔记-牛翰网icp算法学习笔记-牛翰网icp算法学习笔记-牛翰网
评分
回复分享
093fbe00c97932d7的头像-牛翰网
patton88等级-LV1-牛翰网
8个月前更新12次阅读
关注私信

Windows环境下xmake安装配置,创建编译运行项目

Windows环境下xmake安装配置,创建编译运行项目
视频地址:https://www.bilibili.com/video/BV1NHwqe3Ewn/?spm_id_from=333.1387...
Windows环境下xmake安装配置,创建编译运行项目-牛翰网
评分
回复分享
猿柒的头像-牛翰网钻石会员
猿柒徽章-资深玩家-牛翰网等级-LV7-牛翰网
8个月前更新15次阅读
关注私信

CF1796F

通过设 $n$ 的位数为 $z$,$b$ 的位数为 $y$,得出题目中式子为 $$\frac{a \times 10^z + n}{n \times 10^y + b} = \frac{a}{b} \Rightarrow an \times 10^y+ab = ab \times 10^z + nb$$ 将 $n$ 表示出来,得: $$an \times 10^y - nb = ab \times (10^y - 1)...
评分
回复分享
猿柒的头像-牛翰网钻石会员
猿柒徽章-资深玩家-牛翰网等级-LV7-牛翰网
8个月前更新16次阅读
关注私信

单件模式的困境与替代方案

引言 简要介绍单件模式的定义和常见用途。 提出单件模式在实际开发中存在的问题,尤其是多线程环境下的复杂性。 说明本文将探讨单件模式的困境,并提供几种替代方案。
1. 单件模式的困境
1.1 多线程场景下的复杂性 问题: 多线程环境下,单件模式的实现需要考...
评分
回复分享
猿柒的头像-牛翰网钻石会员
猿柒徽章-资深玩家-牛翰网等级-LV7-牛翰网
8个月前更新34次阅读
关注私信

(原创)[开源][.Net Standard 2.0] SimpleMMF (进程间通信框架)更新 v1.1,极低CPU占用

一、前言
在上一篇 (原创)[.Net] 进程间通信框架(基于共享内存)——SimpleMMF 中,发布了v1.0版,最大的问题是:CPU占用较高...
(原创)[开源][.Net Standard 2.0] SimpleMMF (进程间通信框架)更新 v1.1,极低CPU占用-牛翰网(原创)[开源][.Net Standard 2.0] SimpleMMF (进程间通信框架)更新 v1.1,极低CPU占用-牛翰网
评分
回复分享
加载更多

牛翰网 - 每一份分享都能成就每一次喜悦
牛翰网 - 每一份分享都能成就每一次喜悦
最新发布
AI大模型算法-从大模型原理剖析到训练(微调)落地实战-牛翰网

AI大模型算法-从大模型原理剖析到训练(微调)落地实战

itazs的头像-牛翰网4天前
52
嵌入式STM32工程师系统培养指南-牛翰网

嵌入式STM32工程师系统培养指南

itazs的头像-牛翰网9天前
41
新-Jetpack Compose:从上手到进阶再到高手-牛翰网

新-Jetpack Compose:从上手到进阶再到高手

itazs的头像-牛翰网9天前
39
【扔物线】Jetpack Compose-牛翰网

【扔物线】Jetpack Compose

youkeit-xyz的头像-牛翰网9天前
39
AI产品经理特训营-牛翰网

AI产品经理特训营

itazs的头像-牛翰网9天前
56
Java并发编程(4)-牛翰网

Java并发编程(4)

猿柒的头像-牛翰网钻石会员1个月前
66
  • 热评文章

深度学习入门4:强化学习 – PDF免费下载(鱼书)

【matplotlib 实战】–面积图

protobuf

validator库在gin中的使用

OpneCV人脸识别:训练篇

基于汉王云API的人脸识别

AI大模型算法-从大模型原理剖析到训练(微调)落地实战

【iPhone8&iPhone X】高科技技术必须学会的人脸识别术

MDT中实现一个任务序列(TS)对不同型号机器识别分区

图像基础20 人脸辨识——人脸识别2

标签云
C++ReactVueOracleJS鸿蒙开发sqlNETnode.js人工智能JavaScriptphpASP.NET计算机视觉正则表达式json前端AngularVue3C语言QtCoreServertypescript数据nodenodejs安装文件字符串图片npm数据库SQLServer函数报错uniapp人脸识别MariaDBmysql配置Excel组件上传API微信小程序数组java下载查询小程序对象路由验证使用pdfechartsHTTP请求NVM
  • 牛翰网 - 每一份分享都能成就每一次喜悦

    牛翰网是集人工智能、编程开发、数据与算法、数据库、软件下载的编程社区自媒体平台,秉着“每一份分享都能成就每一次喜悦!”的宗旨,欢迎各路牛人入驻牛翰分享、收受喜悦!
  • 免责声明 关于我们 友链申请  · 

    Copyright © 2024 · 牛翰网 · 苏ICP备2023048746号
    扫一扫加微信-牛翰网
  • 扫码加QQ群-牛翰网

    扫码加QQ群

    扫码加微信-牛翰网

    扫码加微信

发布文章创建话题创建圈子发布帖子
扫码添加微信-牛翰网
在手机上浏览此页面

登录
没有账号?立即注册
用户名或邮箱
登录密码
找回密码
注册
已有账号,立即登录
设置用户名
设置密码
重复密码