智能工控
智能开发
数据结构与算法
数据分析
机器学习
大模型
编程开发
后端开发
前端开发
移动开发
数据库
学习课程
下载
牛翰社区
发布
发布文章
创建话题
创建圈子
发布帖子
开通会员
开通黄金会员
全站资源折扣购买
部分内容免费阅读
一对一技术指导
VIP用户专属QQ群
开通黄金会员
开通钻石会员
全站资源折扣购买
部分内容免费阅读
一对一技术指导
VIP用户专属QQ群
开通钻石会员
登录
注册
智能工控
智能开发
数据结构与算法
数据分析
机器学习
大模型
编程开发
后端开发
前端开发
移动开发
数据库
学习课程
下载
牛翰社区
开通会员 尊享会员权益
登录
注册
找回密码
分享
创建新圈子
数据算法
编程算法
帖子 1548
关注 1
编程算法是一组明确的指令集,旨在解决特定问题或实现特定功能。它们通过一系列步骤指导计算机执行操作,最终达到预定的目标。
圈主
申请管理
发布
全部
最新发布
最新回复
热门
精华
清风拂山岗(小高同学)
8个月前更新
8次阅读
关注
私信
Redis安装
Redis安装
Centos7.8 安装
1.安装redis依赖
yum install -y gcc tcl
评分
回复
分享
Johnny-Chang
8个月前更新
12次阅读
关注
私信
深化Edge AI 应用:德承工控机GM-1100安装Ubuntu 24.04.1 LTS系统操作指南
Edge AI:边缘运算(Edge Computing)结合人工智能(AI),将AI模型和算法安排在负责处理边缘运算的工控机上,除了能够就近撷取...
+29
评分
回复
分享
海豚调度
8个月前更新
6次阅读
关注
私信
用户案例 | 某商业银行引入白鲸调度系统实现系统升级与业务场景深度支持
导读
某地方性股份制商业银行主要提供个人金融、公司金融、国际金融等方面的业务,承担着大量的金融数据处理与分析任务。这些任...
评分
回复
分享
猿柒
8个月前更新
7次阅读
关注
私信
legged-robot关于locomotion、Navigation任务主要文章速览
0. 前言
目前legged robot包括locomotion(怎么走)、navigation(往哪走)、人形机器人的whole body control以及基于机械臂的ma...
+60
评分
回复
分享
猿柒
8个月前更新
7次阅读
关注
私信
.Net类型 引用类型
预定义类型引用类型
C#支持两种预定义的引用类型:object 和string 名称 .NET类型 说明 object System.Object 根类型,其他类型都是从它派生而来的(包括值类型) string System.String Unicode字符串
1.object类型 许多编程语言和层次结构都提供了根类型,层次...
评分
回复
分享
猿柒
8个月前更新
7次阅读
关注
私信
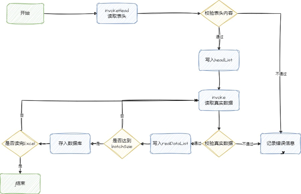
《SpringBoot》EasyExcel实现百万数据的导入导出
24年11月6日消息,阿里巴巴旗下的Java Excel工具库EasyExcel近日宣布,将停止更新,未来将逐步进入维护模式,将继续修复Bug,但...
评分
回复
分享
猿柒
8个月前更新
9次阅读
关注
私信
HiJobQueue:一个简单的线程安全任务队列
HiJobQueue:一个简单的线程安全任务队列
概述
HiJobQueue 是一个线程安全的任务队列,用于在多线程环境中管理和执行异步任务。它的设计参考了 Cobalt 项目中的 JobQueue,并做了适当的简化。HiJobQueue 提供了任务推送(push)、任务弹出(pop)、队列退出(...
评分
回复
分享
猿柒
8个月前更新
10次阅读
关注
私信
VScode配置X11转发!让你彻底摆脱显示屏!!!
作者:SkyXZ CSDN:SkyXZ~-CSDN博客 博客园:SkyXZ - 博客园 在我们远程SSH使用开发板或者是服务器开发的时候,你是否总是苦于...
+7
评分
回复
分享
猿柒
8个月前更新
8次阅读
关注
私信
对象池框架 commons pool2 原理与实践
当资源对象的创建/销毁比较耗时的场景下,可以通过"池化"技术,达到资源的复用,以此来减少系统的开销、增大系统吞吐量,比如数...
评分
回复
分享
猿柒
8个月前更新
12次阅读
关注
私信
【大厂文章学习】合并编译的学习与思考
【大厂文章学习】合并编译的学习与思考 大家好,我是思无邪,某go中厂开发工程师,也是OSPP2024的学生参与者! 如果你觉得我的文...
评分
回复
分享
猿柒
8个月前更新
12次阅读
关注
私信
目标检测高频评价指标的计算过程
在yolo目标检测的评价指标中有如下字段:
指标的计算过程如图:
计算过程从前到后,涉及到多个指标的计算,分别是: 模型输出值 ...
+26
评分
回复
分享
猿柒
8个月前更新
8次阅读
关注
私信
网络抓包文件太大,如何切分
背景
节前最后几天了,随便写点水文吧,今天就记录一下,当我们拿到的网络抓包文件太大,应该怎么分析。
一般来说,我们个人抓包...
+13
评分
回复
分享
猿柒
8个月前更新
6次阅读
关注
私信
.NET 9 new features-C#13新的锁类型和语义
C# 13 中,引入了新的锁类型和语义,主要用于增强多线程编程中的同步机制。
传统上,C# 使用 lock 关键字与任意的 object 实例配合,实现线程间的互斥访问。然而,这种方式可能存在性能瓶颈和潜在的死锁风险。
为此,C# 13 在 .NET 9 中引入了新的锁类型 Syst...
评分
回复
分享
猿柒
8个月前更新
7次阅读
关注
私信
其他对称密码类型应用介绍
目录 可搜索加密 保留格式加密 Reference
主流的对称密码类型就是:DES、AES....,下面介绍一些其他类型。
可搜索加密
需求背景: 现在隐私泄露问题备受关注,大家都希望自己的信息以密文的形式上云,而不是以明文的形式上云。 但是这就会有个问题,如果需要...
评分
回复
分享
猿柒
8个月前更新
4次阅读
关注
私信
Jetpack架构组件学习(6)——使用Glance实现桌面小组件
原文地址: Jetpack架构组件学习(6)——使用Glance实现桌面小组件-Stars-One的杂货小窝
公司陆续整了几个Compose写的app,有个小组件的功能,顺便试了下Jetpack库里的Glance框架
感觉与原来的Remoteview差点意思,不过点击事件的使用比Remoteview要方便不少 PS: ...
评分
回复
分享
猿柒
8个月前更新
5次阅读
关注
私信
.NET9 AOT部署
概念
AOT是Ahead-of-Time的缩写,AOT是将C#程序提前编译为机器代码(通常为平台特定的二进制文件),在应用程序启动之前完成编译...
+1
评分
回复
分享
猿柒
8个月前更新
20次阅读
关注
私信
manim边做边学–淡入淡出变换
今天介绍Manim中用于淡入淡出变换的3个动画类: FadeToColor:聚焦于对象颜色的平滑转换,通过渐变增强视觉效果 FadeTransform:...
评分
回复
分享
猿柒
8个月前更新
11次阅读
关注
私信
MUX-VLAN
MUX VLAN(Multiplex VLAN)是一种高级的VLAN技术,它通过在交换机上实现二层流量隔离和灵活的网络资源控制,提供了一种更为细致...
+2
评分
回复
分享
猿柒
8个月前更新
10次阅读
关注
私信
前置数学
一些必要 trick 推式子,先提 \(\sum\) 和 \(\Pi\) 到最前面,然后从后往前合并,必要时考虑更改 \(\sum\) 的取值 看到次方变为...
+5
评分
回复
分享
猿柒
8个月前更新
12次阅读
关注
私信
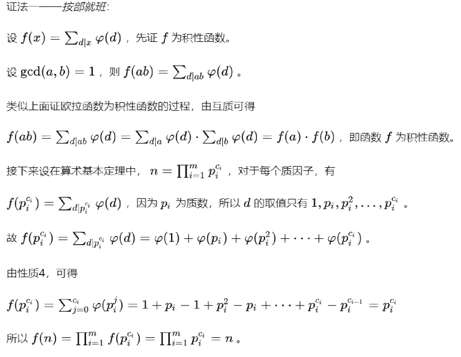
数论
数论基础
整除
只在整数域上讨论。
一般形式为 \(a|b\) ,叫做 \(a\) 能整除 \(b\)。
评分
回复
分享
加载更多
最新发布
AI大模型算法-从大模型原理剖析到训练(微调)落地实战
4天前
52
嵌入式STM32工程师系统培养指南
9天前
39
新-Jetpack Compose:从上手到进阶再到高手
9天前
39
【扔物线】Jetpack Compose
9天前
39
AI产品经理特训营
9天前
56
Java并发编程(4)
1个月前
66
热评文章
深度学习入门4:强化学习 – PDF免费下载(鱼书)
【matplotlib 实战】–面积图
protobuf
validator库在gin中的使用
OpneCV人脸识别:训练篇
基于汉王云API的人脸识别
AI大模型算法-从大模型原理剖析到训练(微调)落地实战
【iPhone8&iPhone X】高科技技术必须学会的人脸识别术
MDT中实现一个任务序列(TS)对不同型号机器识别分区
图像基础20 人脸辨识——人脸识别2
标签云
C++
React
Vue
Oracle
JS
鸿蒙开发
sql
NET
node.js
人工智能
JavaScript
php
ASP.NET
计算机视觉
正则表达式
json
前端
Angular
Vue3
C语言
Qt
Core
Server
typescript
数据
node
nodejs
安装
文件
字符串
图片
npm
数据库
SQLServer
函数
报错
uniapp
人脸识别
MariaDB
mysql
配置
Excel
组件
上传
API
微信小程序
数组
java
下载
查询
小程序
对象
路由
验证
使用
pdf
echarts
HTTP
请求
NVM
发布文章
创建话题
创建圈子
发布帖子
在手机上浏览此页面
登录
没有账号?立即注册
用户名或邮箱
登录密码
记住登录
找回密码
登录
注册
已有账号,立即登录
设置用户名
设置密码
重复密码
注册