某大型商超客户采购数据分析(Spark实战)

写了一些使用sparksql以及spark机器学习来进行数据分析的东西,希望能给大家做一些参考

项目需求:对某大型商超客户采购数据集进行数据分析
数据来源:https://www.heywhale.com/mw/dataset/656069b19a74cc18269207c4/content

首先使用Spark读入数据集,读入文件前要先将文件转为csv格式

val sparConf = new SparkConf().setMaster("local").setAppName("WordCount")
val sc = new SparkContext(sparConf) //建立Spark连接
val spark = SparkSession.builder().getOrCreate()
val df = spark.read.option("header", "true").csv("E:\\ShuJu\\sparkinput\\SuperStore\\SuperStore.csv") //读入文件

总体销售情况

df.agg(count("Order ID"), sum("Quantity"), sum("Sales"), sum("Profit")).show()
//对数据进行一次总体统计

5.1万个订单,销售商品总数为19.8万件,销售额1261.8万刀,利润146.7万刀

对各个地区市场的销售情况进行统计

df.groupBy("Market").agg(count("Order ID"), sum("Quantity"), sum("Sales"), sum("Profit"))
  .show()
//对各个地区市场的销售情况进行统计

按照国家进行分组,按照订单个数进行递减排序,获取订单量前10的国家

val TopCountry = df.groupBy("Country").count() //提取出国家-订单个数的表格
TopCountry.sort(TopCountry("count").desc).show(10) //输出订单个数前10的国家

从图中可以看出美国对该商超的需求比较大,断层领先的第一名,需要优先对其客户进行关注。

对订单数排名前五的国家进行一次统计

val sumOrder = df.count() //sumOrder为所有订单个数的总和
val sumResult = TopCountry.select("count") //sumResult为订单数前五名国家的订单数总和
  .filter("count > 2000")
  .rdd
  .map(row => row(0).asInstanceOf[Long])
  .reduce((a, b) => a + b)
val headConsumer = 1.0*sumResult/sumOrder
println("订单数前五名的国家在所有订单数中的占比为"+headConsumer*100+"%")

前五名为美国、澳大利亚、法国、墨西哥、德国,在全球总订单数中占比为39.7%

对订单商品类别进行查看

df.groupBy("Category").count().show() //查看所有产品类别
df.groupBy("Sub-Category").count().show() //查看所有子类别

在该数据集中共有三种产品类别,其中“办公用品”的销量最高,共产生了3万件订单,其次是“科技产品”和“家具”,分别有1万件和9千件

对产品类别下面的子类别进行统计

val SubCategory = df.groupBy("Sub-Category").count() //提取出子类别-订单个数的表格
SubCategory.sort(SubCategory("count").desc).show(10) //查看子类别中,销量最高的前十名

从销量榜上来看,粘结剂,储物盒,艺术品,纸张,椅子,手机等具有很高的销量数据。

对每一个子类别的总销售额进行统计分析

val SubCategorySale = df.select("Sub-Category", "Sales", "Quantity")
  .withColumn("ASale", df("Sales") * df("Quantity")) //计算每一个类别的总销售额
  .groupBy("Sub-Category") //以类别进行分组
  .sum("ASale") //提取出子类别-销售额的表格

SubCategorySale.sort(SubCategorySale("sum(ASale)").desc) //对每一个子类别的总销售额进行排序
  .withColumnRenamed("sum(ASale)", "AllSale") //重命名列名
  .show(10) //查看子类别中,销量额最高的前十名

从图片中可以看出手机、椅子、复印机、书架、储物盒、家用电器、配件、机器、桌子、文件夹的销售额从高到低,占有前十名

机器学习部分
这里的数据使用了前一千条来进行测试

对销售额进行预测
数据处理

    val cleanedData = df.na.fill(Map(
      "Postal Code" -> "Unknown",
      "Sales" -> "0",
      "Profit" -> "0",
      "Quantity" -> "0",
      "Shipping Cost" -> "0",
      "Discount" -> "0"
    ))

    // 转换为数值类型
    val transformedData = cleanedData
      .withColumn("Sales", col("Sales").cast("Double"))
      .withColumn("Profit", col("Profit").cast("Double"))
      .withColumn("Quantity", col("Quantity").cast("Double"))
      .withColumn("Shipping Cost", col("Shipping Cost").cast("Double"))
      .withColumn("Discount", col("Discount").cast("Double"))
    // 检查转换后的数据类型
    transformedData.printSchema()
    // 删除包含 null 值的行
    val nonNullData = transformedData.na.drop(Seq("Quantity", "Shipping Cost", "Discount"))

回归预测

    // 特征选择
    val featureCols = Array("Quantity", "Shipping Cost", "Discount")
    val assembler = new VectorAssembler().setInputCols(featureCols).setOutputCol("features")

    val featureData = assembler.transform(nonNullData)

    // 划分数据集
    val Array(trainingData, testData) = featureData.randomSplit(Array(0.8, 0.2))

    // 训练模型
    val lr = new LinearRegression()
      .setLabelCol("Sales")
      .setFeaturesCol("features")

    val model = lr.fit(trainingData)

    // 进行预测并查看结果
    val predictions = model.transform(testData)
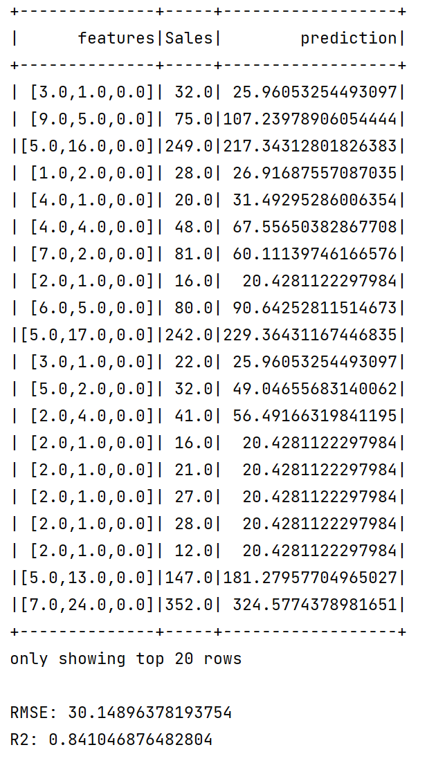
    predictions.select("features", "Sales", "prediction").show()

    // 评估模型
    val trainingSummary = model.summary
    println(s"RMSE: ${trainingSummary.rootMeanSquaredError}")
    println(s"R2: ${trainingSummary.r2}")

sc.stop()//关闭Spark连接

手动关键词

Spark数据分析,Spark项目,Spark机器学习,sparksql,大数据

来源链接:https://www.cnblogs.com/h4o3/p/18398809

© 版权声明
THE END
支持一下吧
点赞8 分享
评论 抢沙发
头像
请文明发言!
提交
头像

昵称

取消
昵称表情代码快捷回复

    暂无评论内容