剑指offer-17、树的⼦结构

题⽬描述

输⼊两棵⼆叉树A , B ,判断B 是不是A 的⼦结构。(ps:我们约定空树不是任意⼀个树的⼦结构)

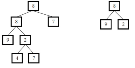
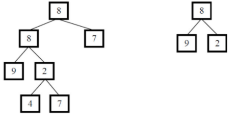
假如给定A 为{8,8,7,9,2,#,#,#,#,4,7} , B 为{8,9,2} , 2 个树的结构如下,可以看出B是A 的⼦结构:

思路及解答

双重递归法(标准解法)

使用两个递归函数:

  1. isSubStructure:遍历树A的每个节点,寻找与树B根节点值相同的节点
  2. recur:从匹配的节点开始,递归比较两棵树的对应节点是否相同
public class Solution {
    public boolean isSubStructure(TreeNode A, TreeNode B) {
        // 空树不是任何树的子结构
        if (A == null || B == null) return false;
        
        // 三种情况满足一种即可:
        // 1. B是以A为根的子结构
        // 2. B是A左子树的子结构
        // 3. B是A右子树的子结构
        return hasSubtree(A, B) || isSubStructure(A.left, B) || isSubStructure(A.right, B);
    }
    
    // 判断B是否是A的子结构(从当前节点开始)
    private boolean hasSubtree(TreeNode A, TreeNode B) {
        // B已经遍历完,说明匹配成功
        if (B == null) return true;
        // A遍历完但B还有节点,或节点值不匹配
        if (A == null || A.val != B.val) return false;
        // 递归比较左右子树
        return hasSubtree(A.left, B.left) && hasSubtree(A.right, B.right);
    }
}
  • 时间复杂度​:O(mn),m和n分别是树A和树B的节点数
  • 空间复杂度​:O(m),递归栈的深度最大为树A的高度

迭代+递归混合法

  1. 使用迭代法(栈或队列)遍历树A
  2. 当找到与树B根节点值相同的节点时,切换到递归比较
  3. 结合了迭代和递归的优点
public class Solution {
    public boolean isSubStructure(TreeNode A, TreeNode B) {
        if (A == null || B == null) return false;
        
        Stack<TreeNode> stack = new Stack<>();
        stack.push(A);
        
        while (!stack.isEmpty()) {
            TreeNode node = stack.pop();
            // 找到匹配的根节点,开始递归比较
            if (node.val == B.val && compareTrees(node, B)) {
                return true;
            }
            if (node.right != null) stack.push(node.right);
            if (node.left != null) stack.push(node.left);
        }
        
        return false;
    }
    
    private boolean compareTrees(TreeNode A, TreeNode B) {
        if (B == null) return true;
        if (A == null || A.val != B.val) return false;
        return compareTrees(A.left, B.left) && compareTrees(A.right, B.right);
    }
}
  • 时间复杂度​:O(mn)
  • 空间复杂度​:O(m),栈的空间消耗

来源链接:https://www.cnblogs.com/seven97-top/p/19006428

© 版权声明
THE END
支持一下吧
点赞12 分享
评论 抢沙发
头像
请文明发言!
提交
头像

昵称

取消
昵称表情代码快捷回复

    暂无评论内容