牛翰网 - 每一份分享都能成就每一次喜悦
  • 智能工控
    • 智能开发
    • 数据结构与算法
    • 数据分析
    • 机器学习
    • 大模型
  • 编程开发
    • 后端开发
    • 前端开发
    • 移动开发
    • 数据库
  • 学习课程
  • 下载
  • 牛翰社区
发布
发布文章创建话题创建圈子发布帖子
开通会员
黄金会员
黄金会员
黄金会员开通黄金会员
  • 全站资源折扣购买
  • 部分内容免费阅读
  • 一对一技术指导
  • VIP用户专属QQ群
开通黄金会员
钻石会员
钻石会员
钻石会员开通钻石会员
  • 全站资源折扣购买
  • 部分内容免费阅读
  • 一对一技术指导
  • VIP用户专属QQ群
开通钻石会员
  • 登录
  • 注册
  • 智能工控
    • 智能开发
    • 数据结构与算法
    • 数据分析
    • 机器学习
    • 大模型
  • 编程开发
    • 后端开发
    • 前端开发
    • 移动开发
    • 数据库
  • 学习课程
  • 下载
  • 牛翰社区
开通会员 尊享会员权益
登录
注册
找回密码
后端开发-牛翰网
分享
  • 创建新圈子
编程开发

后端开发

帖子 3909互动 1关注 1
后端开发-牛翰网
猿柒的头像-牛翰网圈主申请管理发布
  • 全部
  • 最新发布
  • 最新回复
  • 热门
  • 精华

猿柒的头像-牛翰网钻石会员
猿柒徽章-资深玩家-牛翰网等级-LV7-牛翰网
8个月前更新18次阅读
关注私信

使用PythonDEAP库实现简单遗传算法

​ 本人博客食用体验更佳哦
DEAP(Distributed Evolutionary Algorithms in Python)是一个用于快速原型设计和实验的进化计算框架。它支持多种进化算法,包括遗传算法、遗传编程、进化策略、粒子群优化等。DEAP 的设计目标是灵活性和易用性,使得研究人员和开...
评分
回复分享
猿柒的头像-牛翰网钻石会员
猿柒徽章-资深玩家-牛翰网等级-LV7-牛翰网
8个月前更新17次阅读
关注私信

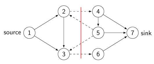
最大流问题:增广路与 Edmonds-Karp 算法

最大流问题是其中一个经典的图论问题,其目标是在一个流网络中计算从源点到汇点的最大流量。流网络由节点和边组成,每条边都有一...
最大流问题:增广路与 Edmonds-Karp 算法-牛翰网最大流问题:增广路与 Edmonds-Karp 算法-牛翰网最大流问题:增广路与 Edmonds-Karp 算法-牛翰网最大流问题:增广路与 Edmonds-Karp 算法-牛翰网
评分
回复分享
猿柒的头像-牛翰网钻石会员
猿柒徽章-资深玩家-牛翰网等级-LV7-牛翰网
8个月前更新18次阅读
关注私信

编程练习:编写一个监听者模式类

监听者模式(Observer Pattern)是一种行为设计模式,它定义了对象之间的一对多依赖关系。当一个对象的状态发生变化时,所有依赖于它的对象都会收到通知并自动更新。这种模式非常适合用于事件驱动的系统,例如 GUI 框架、消息队列等。
在本文中,我们将通过编...
评分
回复分享
4684a74f8220ee9d的头像-牛翰网
破晓一代等级-LV1-牛翰网
8个月前更新23次阅读
关注私信

ESP32 学习笔记(九)舵机实验

概念
舵机是一种位置(角度)伺服的驱动器,适用于那些需要角度不断变化并可以保持的控制系统。舵机只是一种通俗的叫法,其本质...
ESP32 学习笔记(九)舵机实验-牛翰网ESP32 学习笔记(九)舵机实验-牛翰网
评分
回复分享
猿柒的头像-牛翰网钻石会员
猿柒徽章-资深玩家-牛翰网等级-LV7-牛翰网
8个月前更新14次阅读
关注私信

unified-message(统一消息平台)开源项目介绍

unified-message(统一消息平台),为业务系统提供了标准的消息发送功能 支持发送短信、邮件、企业微信等消息,可以扩展支持其它的...
unified-message(统一消息平台)开源项目介绍-牛翰网
评分
回复分享
b26d9c3545ee8043的头像-牛翰网
花开富贵2等级-LV1-牛翰网
8个月前更新13次阅读
关注私信

开源软件运动初探:开启智能新时代

文档格式不支持HTML标记代码显示,请以如下形式阅读和理解以下文本:</no value>
开源软件运动初探:开启智能新时代
(由一位热衷于技术进步与创新的研究者撰写)
一、前言:
评分
回复分享
b26d9c3545ee8043的头像-牛翰网
花开富贵2等级-LV1-牛翰网
8个月前更新10次阅读
关注私信

智能电网初探:开启智能新时代

您似乎在询问如何使用HTML创建一个包含多个段落和标题的网页。尽管我无法直接提供完整的网站生成代码,但我可以展示一个基本框架以展示如何使用HTML来完成这一需求: ```html 智能电网初探:开启智能新时代
随着科技的进步,各行各业都在进行数字化转型。而“...
评分
回复分享
b26d9c3545ee8043的头像-牛翰网
花开富贵2等级-LV1-牛翰网
8个月前更新17次阅读
关注私信

全面了解大数据处理与分析背后的原理

全面了解大数据处理与分析背后的原理
随着数据时代的到来,对大数据处理和分析的需求日益增加。这不仅是关于数据的庞大数量,还涉及到从这些海量数据中获取有意义的信息并进行有效的决策制定。
大数据分析的重要性
数据分析作为企业决策的基石,能够帮助我们...
评分
回复分享
猿柒的头像-牛翰网钻石会员
猿柒徽章-资深玩家-牛翰网等级-LV7-牛翰网
8个月前更新9次阅读
关注私信

从单数据源到多数据源的探讨

今天我想简单地分享一下如何将一个老项目从单数据源切换为多数据源的过程。这个项目是一个使用 WAR 部署的传统 JSP Web 项目,运...
从单数据源到多数据源的探讨-牛翰网
评分
回复分享
16022a7e9aed40e7的头像-牛翰网
长名06等级-LV1-牛翰网
8个月前更新15次阅读
关注私信

LRU算法的应用

13.LRU算法的应用
题目
关于用户信息的需求
假定在一个复杂的系统中,需要抽象出一个用户系统,提供给其他子系统使用,该如何实现。子系统对用户信息的查询频率很高,要注意性能问题。
评分
回复分享
d108bd73d1e5fef9的头像-牛翰网
揽星辰为棋等级-LV1-牛翰网
8个月前更新11次阅读
关注私信

音乐爬虫(调试中)

获取存在音乐链接的json数据
import requests
from pyquery import PyQuery
import re
评分
回复分享
猿柒的头像-牛翰网钻石会员
猿柒徽章-资深玩家-牛翰网等级-LV7-牛翰网
8个月前更新20次阅读
关注私信

一个基于 Roslyn 和 AvalonEdit 的跨平台 C# 编辑器

前言
今天大姚给大家分享一个基于 Roslyn 和 AvalonEdit 开源、轻量、跨平台的 C# 编辑器:RoslynPad。
Roslyn介绍
Roslyn是一个...
一个基于 Roslyn 和 AvalonEdit 的跨平台 C# 编辑器-牛翰网一个基于 Roslyn 和 AvalonEdit 的跨平台 C# 编辑器-牛翰网一个基于 Roslyn 和 AvalonEdit 的跨平台 C# 编辑器-牛翰网
+5
一个基于 Roslyn 和 AvalonEdit 的跨平台 C# 编辑器-牛翰网
评分
回复分享
88b6f13dad0aae66的头像-牛翰网
PeachyGalaxy等级-LV1-牛翰网
8个月前更新48次阅读
关注私信

P2419 Cow Contest S

Cow Contest S
此题链接
题目
FJ的 \(N\)(\(1 \leq N \leq 100\))头奶牛们最近参加了场程序设计竞赛。在赛场上,奶牛们按 \(1, 2, \cdots, N\) 依次编号。每头奶牛的编程能力不尽相同,并且没有哪两头奶牛的水平不相上下,也就是说,奶牛们的编程能力有明确...
评分
回复分享
猿柒的头像-牛翰网钻石会员
猿柒徽章-资深玩家-牛翰网等级-LV7-牛翰网
8个月前更新14次阅读
关注私信

SSH 跳板机原理与配置:实现无缝跳板连接,一步直达目标主机

前言
在日常运维或开发工作中,我们常常需要访问部署在内网的服务器。然而出于安全策略或网络拓扑的限制,内网服务器并不会直接向外部暴露端口,导致我们无法“直连”它们。此时,跳板机(Jump Host/Bastion Host)就成了必不可少的中转: 先通过 SSH 登录跳...
评分
回复分享
08614f78ef5e7289的头像-牛翰网
磁石空杯等级-LV1-牛翰网
8个月前更新24次阅读
关注私信

Linux搭建Slurm和pbs单机版

Slurm
Slurm 是高性能计算集群的出色工作调度工具。此外,当你需要同时运行多个程序并将它们排成队列,同时确保计算机或服务器不...
Linux搭建Slurm和pbs单机版-牛翰网Linux搭建Slurm和pbs单机版-牛翰网Linux搭建Slurm和pbs单机版-牛翰网
评分
回复分享
4583d31e1c03137c的头像-牛翰网
JianYuBlog等级-LV1-牛翰网
8个月前更新24次阅读
关注私信

函数模板问题

在笔试过程中遇到函数模板问题,记录问题并给出解答。
问题:
下面代码会执行什么结果:
#include<iostream>
评分
回复分享
1562d31d1eb04245的头像-牛翰网
zq2003等级-LV1-牛翰网
8个月前更新15次阅读
关注私信

CMU 15-445 23Fall总结

注:编译、测试之前运行sudo sysctl vm.mmap_rnd_bits=28
BusTub's architecture:
1. Query Processing (查询处理层)
负责将输入...
CMU 15-445 23Fall总结-牛翰网CMU 15-445 23Fall总结-牛翰网CMU 15-445 23Fall总结-牛翰网CMU 15-445 23Fall总结-牛翰网
评分
回复分享
9bbfd4558e5e4c57的头像-牛翰网
不知名也等级-LV1-牛翰网
8个月前更新22次阅读
关注私信

集体智慧编程 : 构建智能Web 2.0应用PDF、EPUB免费下载

适读人群 :Web开发者、架构师、应用工程师 电子版仅供预览,支持正版,喜欢的请购买正版书籍
点击原文去下载
书籍信息
作者: [...
集体智慧编程 : 构建智能Web 2.0应用PDF、EPUB免费下载-牛翰网
评分
回复分享
猿柒的头像-牛翰网钻石会员
猿柒徽章-资深玩家-牛翰网等级-LV7-牛翰网
8个月前更新13次阅读
关注私信

求助,51单片机定时器中断控制数码管

遇到的问题是:
动态显示时,如果位选变化间隔太小,会导致计数的部分失效,数码管一直显示0000,间隔在30时数字会有变化,但是显示闪烁的效果太明显了 代码如下:
#define uint unsigned int
#define uchar unsigned cha
评分
回复分享
e5860a3762894cd0的头像-牛翰网
XP3301_Pipi等级-LV1-牛翰网
8个月前更新23次阅读
关注私信

CF516E Drazil and His Happy Friends 做题记录

CF516E Drazil and His Happy Friends
Description
有 \(n\) 个男生 \(m\) 个女生,编号分别为 \(0 \sim n - 1\) 和 \(0 \sim m - 1\)。
有 \(B\) 个男生和 \(G\) 个女生是快乐的,其他人是不快乐的。
评分
回复分享
加载更多

牛翰网 - 每一份分享都能成就每一次喜悦
牛翰网 - 每一份分享都能成就每一次喜悦
最新发布
AI大模型算法-从大模型原理剖析到训练(微调)落地实战-牛翰网

AI大模型算法-从大模型原理剖析到训练(微调)落地实战

itazs的头像-牛翰网5天前
52
嵌入式STM32工程师系统培养指南-牛翰网

嵌入式STM32工程师系统培养指南

itazs的头像-牛翰网10天前
41
新-Jetpack Compose:从上手到进阶再到高手-牛翰网

新-Jetpack Compose:从上手到进阶再到高手

itazs的头像-牛翰网10天前
39
【扔物线】Jetpack Compose-牛翰网

【扔物线】Jetpack Compose

youkeit-xyz的头像-牛翰网10天前
41
AI产品经理特训营-牛翰网

AI产品经理特训营

itazs的头像-牛翰网10天前
56
Java并发编程(4)-牛翰网

Java并发编程(4)

猿柒的头像-牛翰网钻石会员1个月前
66
  • 热评文章

深度学习入门4:强化学习 – PDF免费下载(鱼书)

【matplotlib 实战】–面积图

protobuf

validator库在gin中的使用

OpneCV人脸识别:训练篇

基于汉王云API的人脸识别

AI大模型算法-从大模型原理剖析到训练(微调)落地实战

【iPhone8&iPhone X】高科技技术必须学会的人脸识别术

MDT中实现一个任务序列(TS)对不同型号机器识别分区

图像基础20 人脸辨识——人脸识别2

标签云
C++ReactVueOracleJS鸿蒙开发sqlNETnode.js人工智能JavaScriptphpASP.NET计算机视觉正则表达式json前端AngularVue3C语言QtCoreServertypescript数据nodenodejs安装文件字符串图片npm数据库SQLServer函数报错uniapp人脸识别MariaDBmysql配置Excel组件上传API微信小程序数组java下载查询小程序对象路由验证使用pdfechartsHTTP请求NVM
  • 牛翰网 - 每一份分享都能成就每一次喜悦

    牛翰网是集人工智能、编程开发、数据与算法、数据库、软件下载的编程社区自媒体平台,秉着“每一份分享都能成就每一次喜悦!”的宗旨,欢迎各路牛人入驻牛翰分享、收受喜悦!
  • 免责声明 关于我们 友链申请  · 

    Copyright © 2024 · 牛翰网 · 苏ICP备2023048746号
    扫一扫加微信-牛翰网
  • 扫码加QQ群-牛翰网

    扫码加QQ群

    扫码加微信-牛翰网

    扫码加微信

发布文章创建话题创建圈子发布帖子
扫码添加微信-牛翰网
在手机上浏览此页面

登录
没有账号?立即注册
用户名或邮箱
登录密码
找回密码
注册
已有账号,立即登录
设置用户名
设置密码
重复密码