Python多分类Logistic回归详解与实践-大模型牛翰社区-人工智能-牛翰网

Python多分类Logistic回归详解与实践

在机器学习中,Logistic回归是一种基本但非常有效的分类算法。它不仅可以用于二分类问题,还可以扩展应用于多分类问题。本文将详细介绍如何使用Python实现一个多分类的Logistic回归模型,并给出详细的代码示例。

一、Logistic回归简介

Logistic回归是一种线性模型,用于二分类问题。它通过Sigmoid函数将线性回归的输出映射到(0, 1)区间内,从而得到样本属于某一类的概率。对于多分类问题,可以使用Softmax函数将输出映射到多个类别上,使得每个类别的输出概率之和为1。

Logistic回归模型的一般形式为:

其中,θ 是模型参数,x 是输入特征。

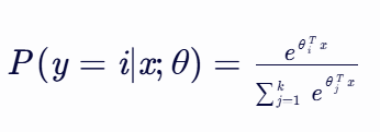
对于多分类问题,假设有 k 个类别,则Softmax函数的形式为:

其中,θi 是第 i 个类别的参数向量。

二、数据准备

在实现多分类Logistic回归之前,我们需要准备一些数据。这里我们使用经典的Iris数据集,该数据集包含三个类别的鸢尾花,每个类别有50个样本,每个样本有4个特征。

以下是数据准备的代码:

import pandas as pd
from sklearn.datasets import load_iris
from sklearn.model_selection import train_test_split
from sklearn.preprocessing import StandardScaler
 
# 加载Iris数据集
iris = load_iris()
data = pd.DataFrame(data=iris.data, columns=iris.feature_names)
data['target'] = iris.target
 
# 显示数据的前5行
print(data.head())
 
# 划分训练集和测试集
X = data[iris.feature_names]  # 特征
y = data['target']  # 目标变量
X_train, X_test, y_train, y_test = train_test_split(X, y, test_size=0.3, random_state=42)
 
# 特征缩放
scaler = StandardScaler()
X_train = scaler.fit_transform(X_train)
X_test = scaler.transform(X_test)

三、模型训练

在训练多分类Logistic回归模型时,我们需要使用LogisticRegression类,并指定multi_class='multinomial'参数以使用多项逻辑回归。此外,我们还需要指定优化算法,这里使用solver='lbfgs'

以下是模型训练的代码:

from sklearn.linear_model import LogisticRegression
 
# 创建Logistic回归模型
model = LogisticRegression(multi_class='multinomial', solver='lbfgs')
 
# 训练模型
model.fit(X_train, y_train)
 
# 输出模型的训练分数
print(f'Training score: {model.score(X_train, y_train)}')

四、模型评估

训练完模型后,我们需要对模型进行评估,以了解其在测试集上的表现。常用的评估指标包括准确率、混淆矩阵和分类报告。

以下是模型评估的代码:

from sklearn.metrics import accuracy_score, confusion_matrix, classification_report
 
# 对测试集进行预测
y_pred = model.predict(X_test)
 
# 计算和显示准确率
accuracy = accuracy_score(y_test, y_pred)
print(f'Accuracy: {accuracy}')
 
# 计算和显示混淆矩阵
conf_matrix = confusion_matrix(y_test, y_pred)
print('Confusion Matrix:\n', conf_matrix)
 
# 计算和显示分类报告
print(classification_report(y_test, y_pred))

五、代码整合与运行

以下是完整的代码示例,可以直接运行:

import pandas as pd
from sklearn.datasets import load_iris
from sklearn.model_selection import train_test_split
from sklearn.preprocessing import StandardScaler
from sklearn.linear_model import LogisticRegression
from sklearn.metrics import accuracy_score, confusion_matrix, classification_report
 
# 加载Iris数据集
iris = load_iris()
data = pd.DataFrame(data=iris.data, columns=iris.feature_names)
data['target'] = iris.target
 
# 显示数据的前5行
print(data.head())
 
# 划分训练集和测试集
X = data[iris.feature_names]  # 特征
y = data['target']  # 目标变量
X_train, X_test, y_train, y_test = train_test_split(X, y, test_size=0.3, random_state=42)
 
# 特征缩放
scaler = StandardScaler()
X_train = scaler.fit_transform(X_train)
X_test = scaler.transform(X_test)
 
# 创建Logistic回归模型
model = LogisticRegression(multi_class='multinomial', solver='lbfgs')
 
# 训练模型
model.fit(X_train, y_train)
 
# 输出模型的训练分数
print(f'Training score: {model.score(X_train, y_train)}')
 
# 对测试集进行预测
y_pred = model.predict(X_test)
 
# 计算和显示准确率
accuracy = accuracy_score(y_test, y_pred)
print(f'Accuracy: {accuracy}')
 
# 计算和显示混淆矩阵
conf_matrix = confusion_matrix(y_test, y_pred)
print('Confusion Matrix:\n', conf_matrix)
 
# 计算和显示分类报告
print(classification_report(y_test, y_pred))

六、结果分析

运行上述代码后,你将得到模型的训练分数、准确率、混淆矩阵和分类报告。以下是对这些结果的分析:

  1. 训练分数:这是模型在训练集上的准确率,通常会比测试集上的准确率要高。如果训练分数过高而测试分数过低,可能表明模型出现了过拟合。
  2. 准确率:这是模型在测试集上的准确率,是衡量模型性能的重要指标。准确率越高,说明模型的性能越好。
  3. 混淆矩阵:混淆矩阵是一个表格,用于显示模型在各个类别上的预测结果。通过混淆矩阵,我们可以了解模型在各个类别上的表现,以及是否存在类别混淆的情况。
  4. 分类报告:分类报告提供了每个类别的精确率、召回率和F1分数等指标。精确率表示预测为正样本的实例中真正为正样本的比例;召回率表示所有真正的正样本中被正确预测的比例;F1分数是精确率和召回率的调和平均数,用于综合衡量模型的性能。

七、模型优化

虽然上述代码已经实现了一个基本的多分类Logistic回归模型,但在实际应用中,我们可能还需要对模型进行优化,以提高其性能。以下是一些常用的优化方法:

  1. 特征选择:选择对模型性能有重要影响的特征进行训练,可以提高模型的准确性和泛化能力。
  2. 正则化:通过添加正则化项来防止模型过拟合。Logistic回归中常用的正则化方法包括L1正则化和L2正则化。
  3. 调整超参数:通过调整模型的超参数(如学习率、迭代次数等)来优化模型的性能。
  4. 集成学习:将多个模型的预测结果进行组合,以提高模型的准确性和稳定性。常用的集成学习方法包括袋装法(Bagging)和提升法(Boosting)。

八、结论

本文详细介绍了如何使用Python实现一个多分类的Logistic回归模型,并给出了详细的代码示例。通过数据准备、模型训练、模型评估和结果分析等步骤,我们了解了多分类Logistic回归的基本实现流程。此外,本文还介绍了模型优化的一些常用方法,以帮助读者在实际应用中提高模型的性能。希望本文能为初学者提供有价值的参考,并在实践中不断提升自己的技能。

来源链接:https://www.cnblogs.com/TS86/p/18651233

请登录后发表评论

    没有回复内容