这两个题目的分析思路是十分类似的。都是进行一个拆分。
1.不同的二叉搜索树 题目描述:
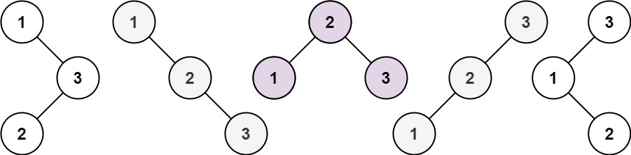
给你一个整数 n ,求恰由 n 个节点组成且节点值从 1 到 n 互不相同的 二叉搜索树 有多少种?返回满足题意的二叉搜索树的种数。
示例 1:
![图片[1]-96. 不同的二叉搜索树 && 343. 整数拆分 Golang实现-伺服驱动牛翰社区-人工智能-牛翰网](https://niuimg.niucores.com/wp-content/uploads/2025/01/4083194336201747215.png)
输入:n = 3
输出:5
思路分析:
动态规划分析:
- 确定状态:
令dp[i]表示以1到i为节点值的二叉搜索树的个数。
初始状态:显然当i = 0时,空树也是一种有效的二叉搜索树,dp[0] = 1。当i = 1时,只有一个节点,dp[1] = 1。 - 状态转移方程:
对于dp[i],我们可以通过选择一个数字作为根节点来构造二叉搜索树。我们可以选择1到i中的任意一个数字作为根节点。假设我们选择了数字k作为根节点,那么:
左子树:其节点值在[1, k-1]之间,左子树可以构造dp[k-1]个不同的树。
右子树:其节点值在[k+1, i]之间,右子树可以构造dp[i-k]个不同的树。
因此,对于每个k(根节点),总的树的个数是左子树树的个数与右子树树的个数的乘积。对于所有k的选择(从1到i),我们将这些结果累加。
综上,状态转移方程为:
![图片[2]-96. 不同的二叉搜索树 && 343. 整数拆分 Golang实现-伺服驱动牛翰社区-人工智能-牛翰网](https://niuimg.niucores.com/wp-content/uploads/2025/01/754649019966367457.png)
这里,dp[k-1]表示k左边的树的个数,dp[i-k]表示k右边的树的个数。因为左子树不动,右子树的任何一种情况都对应一个新的BST,所以用乘法。
- 时间复杂度:
对于每个i,我们需要计算dp[i],而每个dp[i]需要遍历k从1到i,进行dp[k-1] * dp[i-k]的累加,因此时间复杂度为O(n^2)。 - 空间复杂度:
我们只需要一个数组dp来保存从0到n的结果,因此空间复杂度为O(n)。
点击查看代码
func numTrees(n int) int {
dp := make([]int, n+1)
dp[0] = 1 // 空树有 1 种
dp[1] = 1 // 只有一个节点的树也有 1 种
//dp[2] = 2 // 2 个节点可以有 2 种不同的二叉搜索树
// 计算 dp[i],表示有 i 个节点时的不同 BST 数量
for i := 2; i <= n; i++ {
for j := 1; j <= i; j++ {
dp[i] += dp[j-1] * dp[i-j]
}
}
return dp[n]
}
整数拆分 2.题目描述
给定一个正整数 n ,将其拆分为 k 个 正整数 的和( k >= 2 ),并使这些整数的乘积最大化。
返回 你可以获得的最大乘积 。
示例 1:
输入: n = 2
输出: 1
解释: 2 = 1 + 1, 1 × 1 = 1。
示例 2:
输入: n = 10
输出: 36
解释: 10 = 3 + 3 + 4, 3 × 3 × 4 = 36。
思路分析
- 确定状态
令 \(dp[i]\) 表示将整数\(i\)拆分成至少两个正整数后,这些数的最大乘积。
我们的目标是求出 $dp[n] $。 - 状态转移方程
考虑整数 \(i\)的一种拆分方法:将其分为两个部分 \(j\)和 \(i-j\), 其中 \(1≤j<i\)。
对于这种拆分:
- j 的选择直接影响结果。
- 对于 i−j,可以选择进一步拆分,或者直接保留。
因此:


点击查看代码
func integerBreak(n int) int {
dp := make([]int, n+1)
// 初始化基本情况
dp[1] = 1 // 1 没有拆分的可能,最大乘积是 1
dp[2]=1
for i := 3; i <= n; i++ {
for j := 1; j < i; j++ {
// dp[j]是拆分j后的最大乘积,i-j是剩下的部分
// 需要考虑i-j本身是否可以拆分,取最大的结果
dp[i] = max(dp[i], j*(i-j), dp[j]*(i-j))
}
}
return dp[n]
}
来源链接:https://www.cnblogs.com/CharlseGo/p/18656274










没有回复内容