智能工控
智能开发
数据结构与算法
数据分析
机器学习
大模型
编程开发
后端开发
前端开发
移动开发
数据库
学习课程
下载
牛翰社区
发布
发布文章
创建话题
创建圈子
发布帖子
开通会员
开通黄金会员
全站资源折扣购买
部分内容免费阅读
一对一技术指导
VIP用户专属QQ群
开通黄金会员
开通钻石会员
全站资源折扣购买
部分内容免费阅读
一对一技术指导
VIP用户专属QQ群
开通钻石会员
登录
注册
智能工控
智能开发
数据结构与算法
数据分析
机器学习
大模型
编程开发
后端开发
前端开发
移动开发
数据库
学习课程
下载
牛翰社区
开通会员 尊享会员权益
登录
注册
找回密码
分享
创建新圈子
数据算法
编程算法
帖子 1548
关注 1
编程算法是一组明确的指令集,旨在解决特定问题或实现特定功能。它们通过一系列步骤指导计算机执行操作,最终达到预定的目标。
圈主
申请管理
发布
全部
最新发布
最新回复
热门
精华
猿柒
8个月前更新
10次阅读
关注
私信
VUE环境搭建之安装nvm自由管理node的版本
一、下载地址 官网:https://github.com/coreybutler/nvm-windows/releases
二、安装
三、使用命令行查看nvm nvm ls available
...
+3
评分
回复
分享
猿柒
8个月前更新
3次阅读
关注
私信
读书笔记(11)《围城》
序言
钱钟书先生最经典的作品,也是仅有的一部长篇小说,堪称中国现代文学史上风格独特的讽刺经典,被誉为“新儒林外史”,自上...
评分
回复
分享
躺柒
8个月前更新
10次阅读
关注
私信
读软件设计的要素01概念
1. 概念
1.1. 一个软件,从运行于手机上的最小程序到大型的企业系统,都是由概念组成的,每个概念都是独立的功能单元
1.2. 软件...
评分
回复
分享
猿柒
8个月前更新
6次阅读
关注
私信
使用 Dependify 工具探索 .NET 应用程序依赖项
在大型项目中,由于各种组件的复杂性和互连性,管理依赖项可能变得具有挑战性。如果没有适当的工具或文档,可能很难浏览项目并对依赖项做出假设。以下是在大型项目中难以导航项目依赖项的几个原因: 复杂性:大型项目通常由许多模块组成。了解这些依赖项如何...
评分
回复
分享
猿柒
8个月前更新
9次阅读
关注
私信
Comfyui 基础教程(一) —— 本地安装部署
前言
前面一篇文章已经介绍过,ComfyUI 和 Stable Diffusion 的关系。不清楚的朋友,看传送门 Stable Diffusion 小白的入坑铺垫 ...
+8
评分
回复
分享
猿柒
8个月前更新
4次阅读
关注
私信
【Azure Policy】使用deployIfNotExists 把 Azure Activity logs 导出保存在Storage Account
问题描述
使用Azure Policy,对订阅下的全部Activity Log配置Diagnostic Setting,要求: 在Subscription或Management Group级别...
+2
评分
回复
分享
猿柒
8个月前更新
5次阅读
关注
私信
前端使用xlsx模板导出表格
前言
前端导出表格有很多种方案,但是表格样式一旦复杂了,那么就得用代码写excel的样式,还是比较麻烦的。每次样式不一样,就得...
评分
回复
分享
猿柒
8个月前更新
6次阅读
关注
私信
.NET WebSocket高并发通信阻塞问题
项目上遇到使用WebSocket超时问题,具体情况是这样的,OTA升级过程中,解压zip文件会有解压进度事件,将解压进度通过进程通信传...
评分
回复
分享
日升_rs
8个月前更新
5次阅读
关注
私信
Chrome 浏览器插件获取网页 window 对象(方案二)
前言
最近有个需求,是在浏览器插件中获取 window 对象下的某个数据,当时觉得很简单,和 document 一样,直接通过嵌入 content_...
评分
回复
分享
日升_rs
8个月前更新
6次阅读
关注
私信
Chrome 浏览器插件获取网页 window 对象(方案一)
前言
最近有个需求,是在浏览器插件中获取 window 对象下的某个数据,当时觉得很简单,和 document 一样,直接通过嵌入 content_...
评分
回复
分享
xiaoyan2017
8个月前更新
7次阅读
关注
私信
Electron32-ViteOS桌面版os系统|vue3+electron+arco客户端OS管理模板
基于electron32+vue3 setup+pinia2桌面端os管理解决方案ElectronVue3OS。
vue3-electron32-os全新原创Electron32+Vite5+Vue3+Pin...
+42
评分
回复
分享
躺柒
8个月前更新
4次阅读
关注
私信
读构建可扩展分布式系统:方法与实践02分布式系统架构简介
1. 系统架构基础
1.1. 几乎所有大规模系统都是从小规模开始,在成功路上逐渐发展壮大
1.2. 通信使用标准的应用层网络协议,通常...
评分
回复
分享
低吟不作语
8个月前更新
4次阅读
关注
私信
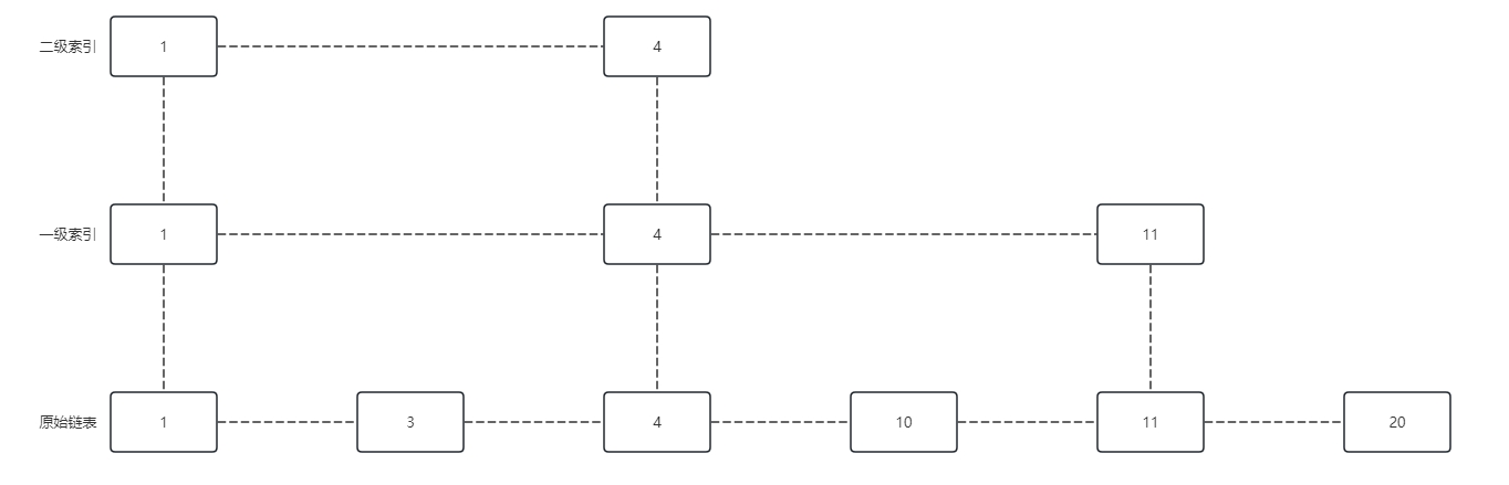
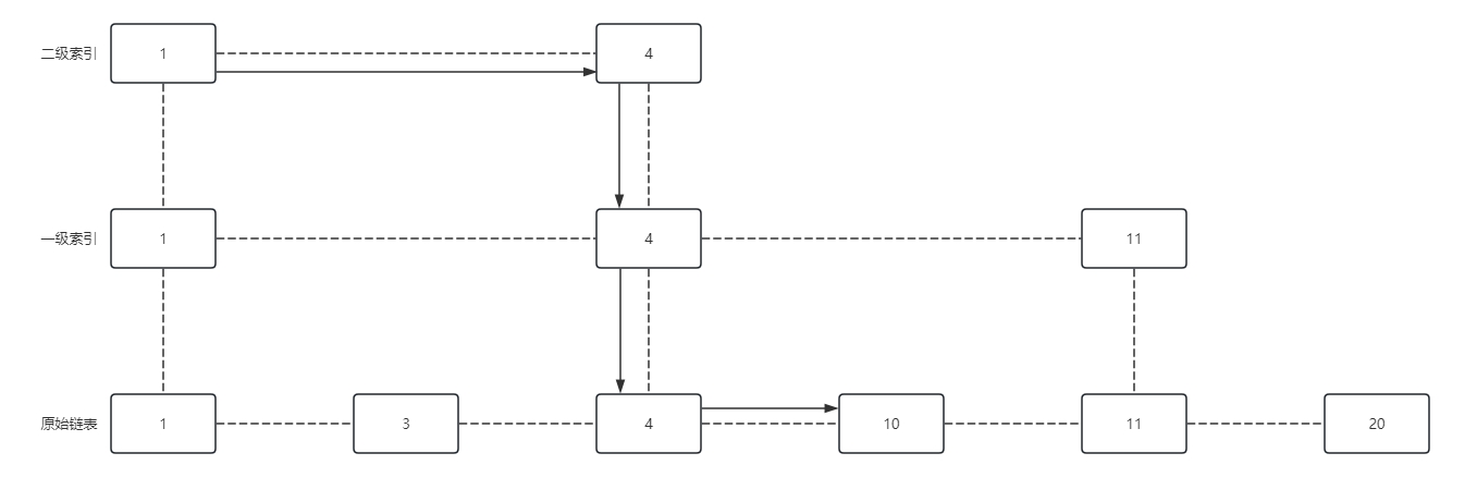
跳跃表
概述
跳跃表(SkipList)是链表加多级索引组成的数据结构。链表的数据结构的查询复条度是 O(N)。为了提高查询效率,可以在链表上加...
评分
回复
分享
躺柒
8个月前更新
11次阅读
关注
私信
读构建可扩展分布式系统:方法与实践03分布式系统要点
1. 通信基础
1.1. 每个分布式系统都包含通过网络进行通信的软件组件
1.2. 硬件 1.2.1. 全球互联网就是一台异构机器,由不同类型...
1
回复
分享
侬侬发
8个月前更新
10次阅读
关注
私信
ERP的MPS如何设计,它关系到哪些画面,各自之间的关系是什么,如何根据订单生成工单、物料需求
在ERP系统中,主生产计划(MPS, Master Production Schedule) 的设计是核心环节之一,主要用于确定生产和物料的需求。MPS通常依赖于客户订单、预测需求以及库存情况来生成一个综合的生产计划。其设计涉及多个模块或画面,以下是MPS设计的关键流程和模块:
1....
评分
回复
分享
在河之舟2020
8个月前更新
12次阅读
关注
私信
职场人如何主持一场合格的会议?
1. 前言
会议的本质是团队内/外在约定的时间内就某件事务进行意见交换并达成共识的过程,有效的会议应该包含主题、材料(论据)、结论三个要素。
结合到各个业务团队,是以一定的时间单位对本时间周期内工作的事前、事中、事后管理。因此,三个会议的隐含主题...
评分
回复
分享
猿柒
8个月前更新
12次阅读
关注
私信
《数据资产管理核心技术与应用》首次大型赠书活动圆满结束
《数据资产管理核心技术与应用》是清华大学出版社出版的一本图书,作者为张永清等著,在2024.9.11号晚上20:00,本书作者张永清联...
+6
评分
回复
分享
猿柒
8个月前更新
10次阅读
关注
私信
强!推荐一款Python开源自动化脚本工具:AutoKey!
1、前言
在数字化时代,自动化工具成为了提升工作效率和生产力的重要手段。Python作为一种广泛使用的编程语言,以其强大的功能和易用性受到许多开发者的青睐。 而今天给大家推荐一款开源的自动化脚本工具:AutoKey。
结合Python的强大编程能力与AutoKey的任务...
评分
回复
分享
Jean1232
8个月前更新
16次阅读
关注
私信
影像活动分享:高分辨率影像数据0元Get!速来!
想要一张项目所需的卫星影像
去哪选购?
有卫星影像需求的小伙伴们
可算是赶上福利啦!
+4
评分
回复
分享
猿柒
8个月前更新
23次阅读
关注
私信
SQL Server 中的 NUL 设备/NIL设备
SQL Server 中的 NUL 设备/NIL设备
在 SQL Server 中,有一个特殊的设备叫做 NUL(注意,不是 NULL),它类似于文件系统中的“黑...
评分
回复
分享
加载更多
最新发布
AI大模型算法-从大模型原理剖析到训练(微调)落地实战
5天前
52
嵌入式STM32工程师系统培养指南
10天前
41
新-Jetpack Compose:从上手到进阶再到高手
10天前
39
【扔物线】Jetpack Compose
10天前
41
AI产品经理特训营
10天前
56
Java并发编程(4)
1个月前
66
热评文章
深度学习入门4:强化学习 – PDF免费下载(鱼书)
【matplotlib 实战】–面积图
protobuf
validator库在gin中的使用
OpneCV人脸识别:训练篇
基于汉王云API的人脸识别
AI大模型算法-从大模型原理剖析到训练(微调)落地实战
【iPhone8&iPhone X】高科技技术必须学会的人脸识别术
MDT中实现一个任务序列(TS)对不同型号机器识别分区
图像基础20 人脸辨识——人脸识别2
标签云
C++
React
Vue
Oracle
JS
鸿蒙开发
sql
NET
node.js
人工智能
JavaScript
php
ASP.NET
计算机视觉
正则表达式
json
前端
Angular
Vue3
C语言
Qt
Core
Server
typescript
数据
node
nodejs
安装
文件
字符串
图片
npm
数据库
SQLServer
函数
报错
uniapp
人脸识别
MariaDB
mysql
配置
Excel
组件
上传
API
微信小程序
数组
java
下载
查询
小程序
对象
路由
验证
使用
pdf
echarts
HTTP
请求
NVM
发布文章
创建话题
创建圈子
发布帖子
在手机上浏览此页面
登录
没有账号?立即注册
用户名或邮箱
登录密码
记住登录
找回密码
登录
注册
已有账号,立即登录
设置用户名
设置密码
重复密码
注册